
leads, which are embedded
inside the former assembly
and soldered to the tinsel leads
with high temperature silver
solder. The solder joint is then
coated with a special, thermally
conductive silicone adhesive
for encapsulation and heat
dissipation.
The voice coil assembly is bonded
to the Kevlar®composite cone and
new, incredible tough plastiseal
coated Nomex®progressive
roll spider using a thermoset
epoxy originally developed for
attaching nose cones onto ICBM
missiles — truly an aerospace
grade adhesive. The spider and
surround are bonded to the frame
with a high strength, toughened
adhesive.
The stunning, 28lb., chrome-
plated Lo Max magnet structure is
all new and was designed using
extensive Finite Element computer
modeling. The back plate/pole
piece is cold forged from a single
massive billet of ultra low carbon
steel and is a prime example of
form following function. The pole
is extended well beyond the 12.5
mm thick front plate to improve
coil cooling and make it more
magnetically linear. The magnet
structure is powered by two full
size Black Widow®magnets in
stacked conguration.
A specially designed vent plate
greatly improves voice coil
cooling. This heat conductive,
ported and nned aluminum, ring
delivers cool air pumped by the
spider directly to the voice coil
to keep operating temperatures
under control. The improved
cooling increases power handling
and reliability and reduce power
compression.
The cast aluminum frame is tough
and rigid and has the strength
needed to hold the cone and
huge magnet assembly in perfect
alignment. The deep dish design
and large spider clearance make
high excursion and high output
possible.
These dynamic new drivers
also utilize the user friendly
Black Widow replaceable basket
assemblies with Rubatex® gaskets.
The results of these specially
designed components are truly
amazing loudspeakers. The
extremely high power handling and
more than 1.5” of available cone
travel combine for astonishing
low frequency output, while the
possibility of small enclosures
adds a new dimension to compact,
high output sound reinforcement
systems.
APPLICATIONS
The Lo Max is specically
designed for subwoofer use, with
extremely high output capabilities
and almost inconceivable power
handling. While most subwoofer
applications are below 150 Hz, it
is usable to frequencies as high
as 500 Hz.
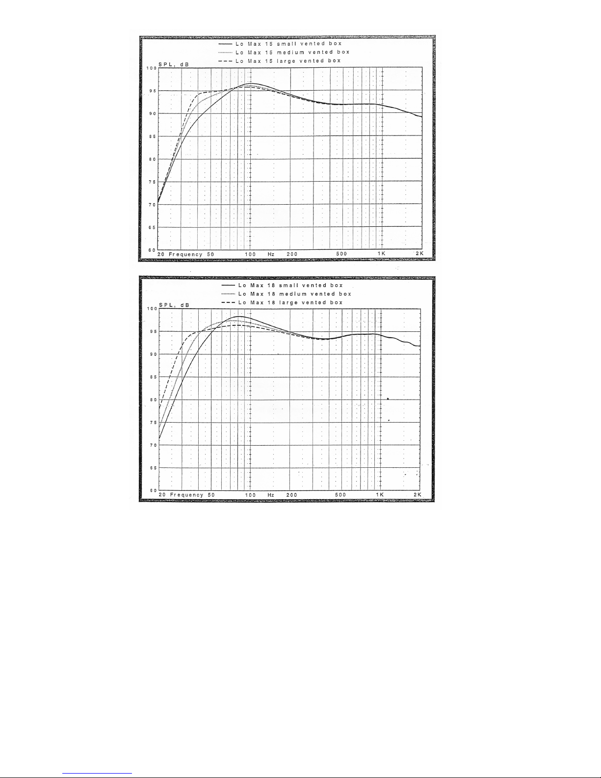
The compact enclosure
designs are ideal for instrument
amplication and high portability
applications such as DJ and small
touring bands. They provide solid
bass performance in extraordinarily
small enclosures. The very small
size offers interesting possibilities
to large touring systems due to
reduced load out volume.
The medium sized enclosures
are smaller than usual and have
more bass extension and much
higher output capabilities than
conventional designs. They
are excellent choices for thigh
performance sound reinforcement.
For permanent installations and
applications requiring extremely
deep bass performance, the large
vented enclosures are ideal. The
extreme, deep bass and high
sound pressure levels these
systems can produce are almost
beyond comprehension.
Due to the Lo Max’s high output
capabilities, excessive levels
may cause structural damage to
buildings or induce permanent
hearing loss, nausea, vertigo or
intestinal disturbances in listeners.
Please be cautious when setting
maximum sound pressure levels.
ENCLOSURES
To assist with the growing interest
in home built enclosure designs,
Peavey provides complete
parameter data on these drivers,
as well as several recommended
enclosures for each model. This
information and much more can be
found at www.peavey.com
Lo Max drivers are intended for
use in vented enclosures only.
Other enclosure designs such as
sealed, horn-loaded, bandpass and
innite bafe will result in reduced
performance and/or possible driver
overheating and failure.
Since vented enclosures
allow driver over-excursion at
frequencies below vent tuning,
active ltering absolutely must be
included with ampliers greater
than 750 watts. This lter should
be a high pass 24 dB Butterworth
at a minimum of 32 Hz for the 15”.
Filtering is also recommended
below 750 watts in order to
conserve amplier power. Failure
to use high pass ltering with
high power operation may cause
driver damage that could void your
warranty.
Enclosures should be built of
best quality ¾” to 1-1/4” (20mm
to 32mm) marine, 7-ply birch or
other high grade plywood. Use
of construction grade plywood is