
Pompe submersible automatique (Français)
9
Utilisation
La série de pompes submersibles a été développée pour pomper l'eau pure et l'eau sale
ne contenant pas de particules. La pompe est généralement utilisée manuellement
ou automatiquement, ainsi que comme pompe d’aspiration portable pour le jardinage.
Elle convient également aux liquides circulant dans les égouts, aux eaux de pluie, etc..
N’utilisez jamais ce type de pompe dans un environnement contenant des hydrocarbures
dangereux (essence, diesel, mazout, solvants, etc.).
Fonction de commutation
Les capteurs de pression et de débit installés dans la pompe font démarrer et arrêter
automatiquement le moteur.
1).Protection en cas de fonctionnement à sec – La pompe démarre 3 secondes
après la mise en marche S'il n'y a pas d'eau, la pompe lance un test d'amorçage
toutes les 5 secondes pendant 30 secondes (6 fois au total). S'il n'y a toujours pas
d'eau, la pompe lance un test d'amorçage toutes les 5 secondes pendant 20
secondes (4 fois au total). Après 3 cycles de test, la pompe s'arrête. Après 1h d’arrêt,
la pompe essaie de s’amorcer S'il n'y a pas d'eau, la pompe lance un seul test
d’amorçage et s'arrête pendant 5h. S'il n'y a toujours pas d'eau au bout des 5 heures,
la pompe essaie de s'amorcer toutes les 24h jusqu’à un remplissage en eau.
DONNÉES TECHNIQUES
Force d’alimentation
Force d’entrée
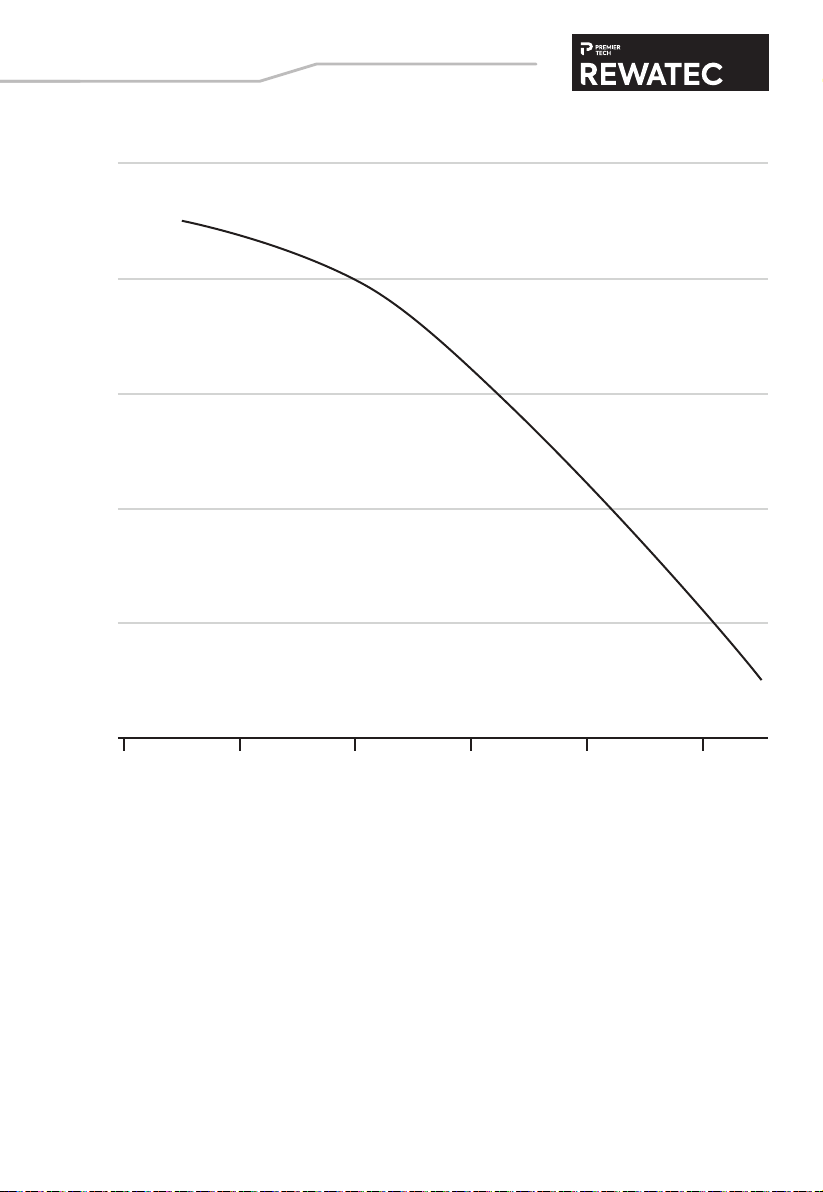
Débit max.
Hauteur max.
Diamètre particules max.
Diamètre de sortie
Veuillez respecter la plaque de signalisation
Veuillez respecter la plaque de signalisation
Veuillez respecter la plaque de signalisation
Veuillez respecter la plaque de signalisation
1 mm
European marché: G1
North-American marché: NPT1
2).Fonctionnement normal – S’il n’y a plus de liquide dans la pompe quand elle
fonctionne, elle s’arrêtera après 10 s. Lorsque du liquide est à nouveau versé dans la
pompe, elle se remet en marche lorsque la pression redescend en-dessous d’une
valeur définie.