2
Instruction Manual for use of temperature and relative
humidity transmitter TR485-103D-150, TR485-103D-700
Transmitter is designed for measurement of air temperature at °C or °F and relative humidity
of air without aggressive ingredients with computing one of the following values: dew point
temperature, absolute humidity, specific humidity, mixing ratio and specific enthalpy. Please read
instruction manual before the first transmitter connection. Transmitter communicates via
link RS485. Supported communication protocols are Modbus RTU, protocol compatible with
standard Advantech-ADAM and ARION. Temperature and relative humidity sensors are non-
removable instrument parts. Measured and computed values are displayed on dual line LCD
display. The first line displays temperature. Value displayed on the second line is selectable among
relative humidity and computed value. It is also possible to display both readings with cyclic
overwriting in 4 seconds interval. Display can be also switched OFF totally. Output link RS485 is
galvanic isolated. Please read instruction manual before the first device connection.
Use user’s software Tsensor for setting of all device parameters (recommended). It
supports make the adjustment of the device too. This procedure is described at file „Calibration
manual.pdf“ which is installed commonly with the software. Change of some parameters is possible
to do without user’s software with Windows hyperterminal (change of communication protocol, its
parameters, LCD display setting). It is described in file “Description of communication protocols of
Txxxx series” which is free to download at the same address.
Transmitter setting from the manufacturer
If special setting was not required in the order, transmitter is set from the manufacturer to the
following parameters:
communication protocol: Modbus RTU
transmitter address: 01H
communication speed: 9600Bd, without parity, 2 stop bits
display: switched ON
value displayed at lower line: relative humidity only
preset computed value: dew point temperature
Transmitter installation
Transmitter is designed for air-conditioning duct – metal stem fixed by means of the
optional gland. Also optional installation flanges PP4 or PP90 are possible to use (not included in
delivery). Measuring temperature and relative humidity sensors are non-removable instrument parts.
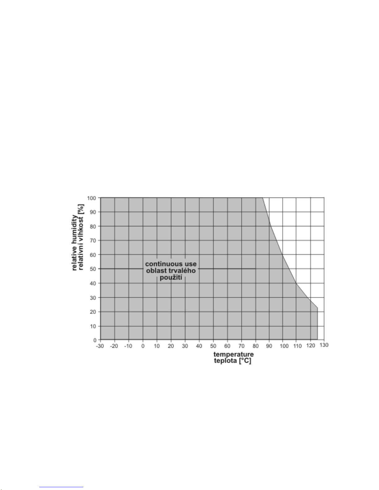
It is NOT recommended to use the device for long time under condensation conditions. It could be
the cause of water steam condensation inside the sensor’s cover into water phase. This liquid phase
stays inside sensor’s cover and can’t escape from the cover easily. It can dramatically increase
response time to relative humidity change. If water condensation occurs for longer time it can cause
sensor damage. Similar effect can occur under water aerosol conditions. If this effect may occur, it
is necessary to use the device at operation position with sensor cover downwards. Don’t connect
transmitter while power supply voltage is on. Interconnection terminals are accessible after
unscrewing four screws and removing the lid. Lace the cable through a gland at the case wall.
Connect the cable to terminals with respecting the signal polarity (see figure). Terminals are self-
clamping and can be opened by a suitable screwdriver. For the opening, insert the screwdriver to
smaller terminal hole and lever by him. Do not forget to tighten glands and case lid with inserted
packing after cables connecting. It is necessary for warranting of protection IP65.