
Note: If damage has occurred, notify the shipping company immediately. Retain
packing materials for inspection.
3.3
Location
1.
Install the 900M within 25 ft./7.5 m (15 ft./5.5 m for 40 kHz) of the converter and in
an area away from radiators or heating vents.
2.
Allow sufficient clearance to the back of the 900M to provide access to the connectors
(approx. 6 in/150 mm minimum).
3.
Observe the following:
•
Do not block exhaust and intake air circulation, which is needed to maintain a
safe operating temperature.
•
Operate the power supply only in an ambient temperature range of 41°F to 122°F
(5°C to 50°C).
If the power supply temperature reaches 185°F/85°C, a thermal switch will stop
ultrasonics and the power supply will display an Overload alarm. Ultrasonics remain
off until the unit cools to a safe operating temperature and you press RESET.
4. Check to see that dust or dirt does not restrict the flow of air exhaust, and clean the
air ports as necessary.
3.4 Power Requirements
A
Warning:
Be sure the power switch is in the Off position before making any electrical
connections.
To prevent the possibility of an electrical shock, always plug the 900M into a
grounded power source.
3.4.1 AC Power Connection
Plug the 900M into a single-phase, grounded, 3-wire, 50-60 Hz, 200-250 VAC power
source.
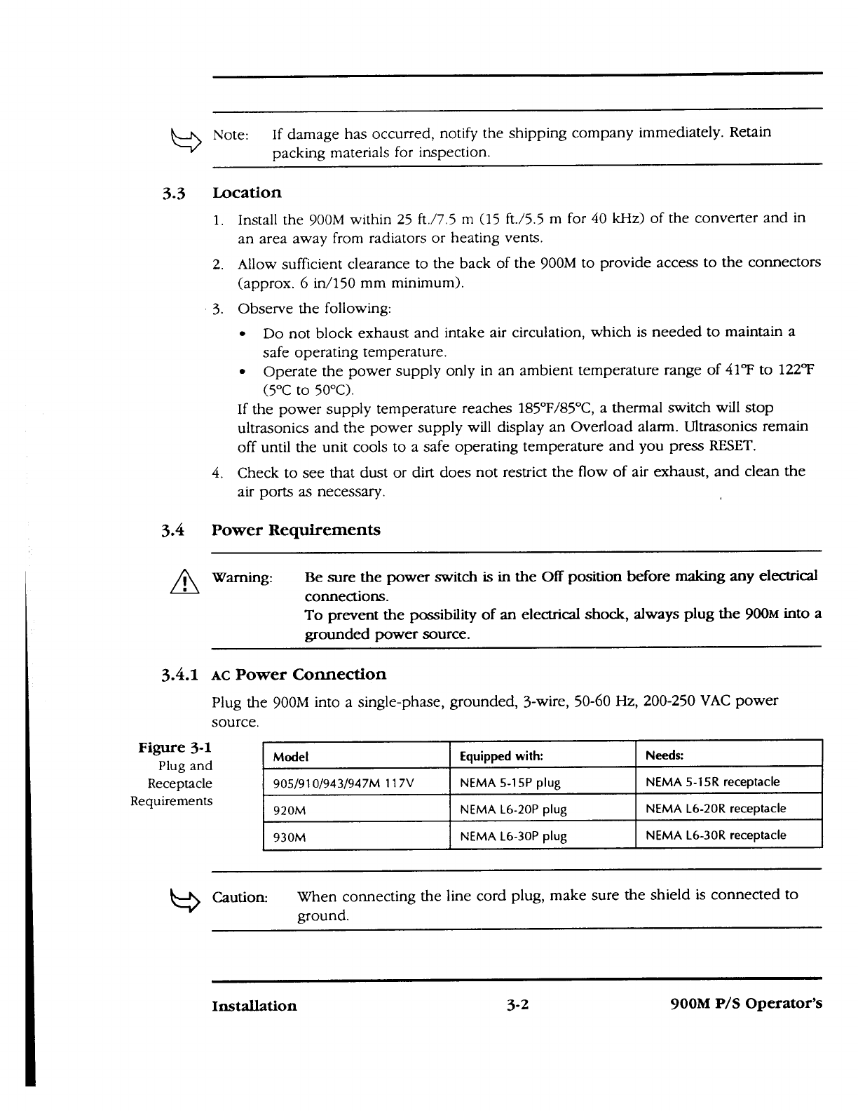
Figure 3-1
Plug and
Receptacle
Requirements
Model
Equipped with:
Needs:
905/910/943/947M 117V
NEMA 5-15P plug
NEMA 5-15R receptacle
920M
NEMA L6-20P plug
NEMA L6-20R receptacle
930M
NEMA L6-30P plug
NEMA L6-30R receptacle
k* Caution:
When connecting the line cord plug, make sure the shield is connected to
ground.
Installation
3-2
900M P/S Operator's