
2
U
SER
’
S
M
ANUAL
HCG
S
ERIES
HCG-750
P
OWER
S
UPPLY
H
IGH
C
URRENT
P
OWER
,
L
OW
C
OST
P
OWER
S
UPPLY
Making q ad rail power and highly advanced power s pply design available at a pop lar wattage, the
HCG-750 feat res special High C rrent connectors and heavy-d ty cabling, earning it NVIDIA® SLI™-
Ready and ATI™ CrossFire™ certifications. At the same time the HCG-750 is also 80 PLUS® Bronze
certified for efficiency, and feat res active PFC with a swift, q iet 135 mm do ble ball bearing fan so yo
know yo ’re getting not only High C rrent, b t also high efficiency and excellent cooling. If loads of
power, High C rrent engineering and exceptional efficiency are what yo ’re after, the HCG-750 is the
perfect PSU for yo .
S
TANDARDS AND
F
EATURES
The connectors and power specifications of the HCG-750 PSU are all compatible with ATX12V v2.3 and EPS12V
v2.91 specifications. The HCG-750 feat res Universal Inp t, which a tomatically senses when yo connect the
power s pply to any AC power so rce between 100~240V witho t setting a voltage switch. This power s pply also
feat res Active Power Factor Correction (Active PFC), which improves the power factor val e of the power s pply
by altering the inp t c rrent wave shape, helping to power transmission across the grid.
S
YSTEM
P
ROTECTION
A variety of ind strial-grade safety circ itry will help protect yo r comp ter: OTP (Over Thermal Protection), OVP
(Over Voltage Protection), SCP (Short Circ it Protection), OPP (Over Power Protection), and OCP (Over C rrent
Protection). Sometimes the PSU will “latch” into a protected state. Yo will need to power off the PSU and clear
the fa lt before it will f nction again. There are no ser-replaceable f ses in yo r HCG-750.
80
PLUS®
C
ERTIFICATION
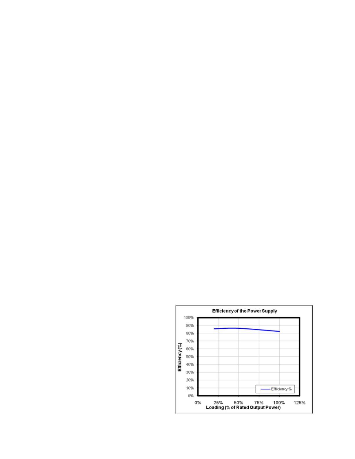
80 PLUS® certification is the most widely recognized
independent standard in power s pply efficiency. An
80 PLUS® certified power s pply ses less energy and
generates less heat to stay cooler, r n q ieter and last
longer. The HCG-750 has been 80 PLUS® Bronze
certified to be at least 82% efficient at a wide range of
operating loads; this will lower yo r operating costs
and help protect the environment.