PCB Piezotronics 498A-0015 Manuale utente
Altri manuali PCB Piezotronics Apparecchiature di prova

PCB Piezotronics
PCB Piezotronics F8159-1012A Manuale utente

PCB Piezotronics
PCB Piezotronics 482C27 Manuale utente

PCB Piezotronics
PCB Piezotronics 482C26 Manuale utente

PCB Piezotronics
PCB Piezotronics ICP Y482A22/NP Manuale utente

PCB Piezotronics
PCB Piezotronics ICP 481A Series Manuale utente

PCB Piezotronics
PCB Piezotronics 482A21 Manuale utente

PCB Piezotronics
PCB Piezotronics 8159-0013A Manuale utente

PCB Piezotronics
PCB Piezotronics 8159-0011A Manuale utente

PCB Piezotronics
PCB Piezotronics PCB-137B29B Manuale utente

PCB Piezotronics
PCB Piezotronics 118B06 Manuale utente

PCB Piezotronics
PCB Piezotronics 088A Manuale utente

PCB Piezotronics
PCB Piezotronics 8159-0051A Manuale utente

PCB Piezotronics
PCB Piezotronics 498A-0016 Manuale utente

PCB Piezotronics
PCB Piezotronics F8159-0112A Manuale utente

PCB Piezotronics
PCB Piezotronics 8159-0111A Manuale utente

PCB Piezotronics
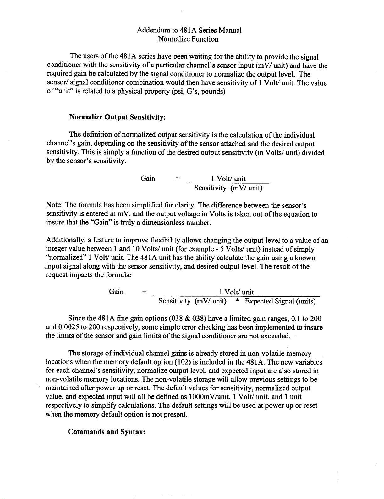
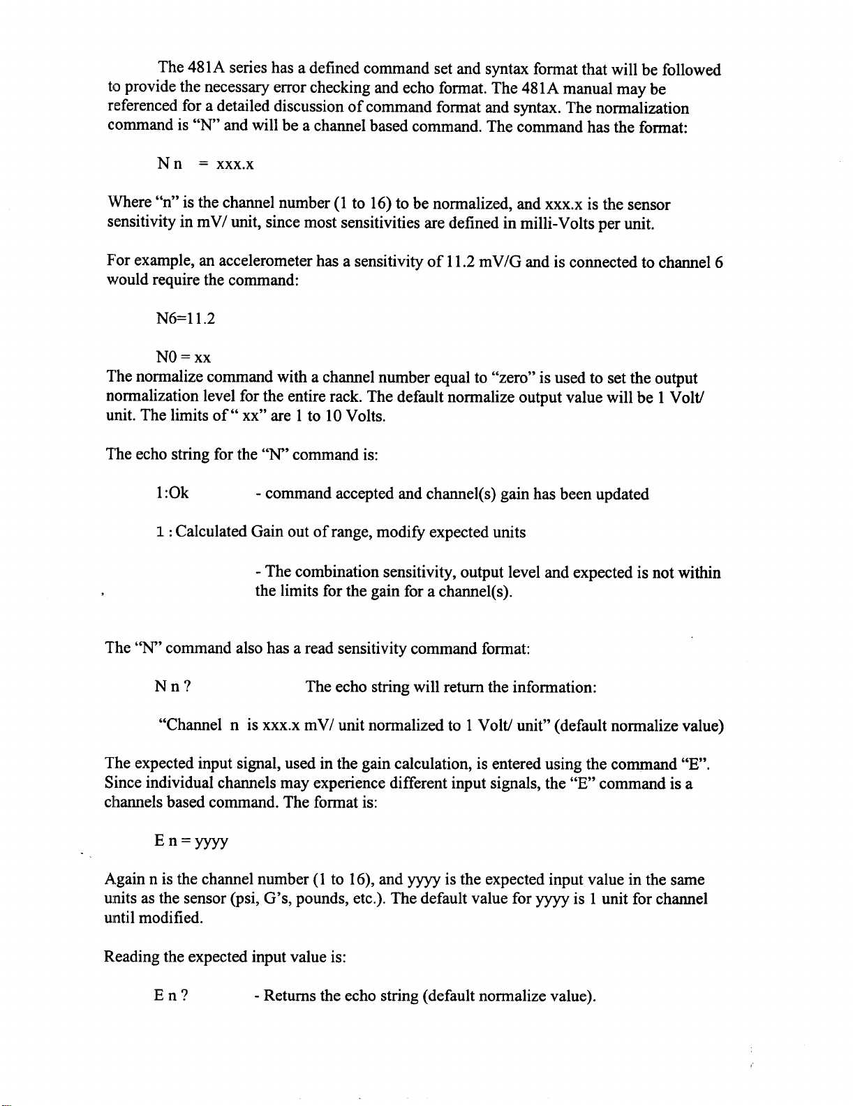
PCB Piezotronics 481A Series Manuale utente

PCB Piezotronics
PCB Piezotronics 483C30 Manuale utente

PCB Piezotronics
PCB Piezotronics 482C15/NP Manuale utente

PCB Piezotronics
PCB Piezotronics 8159 Series Manuale utente

PCB Piezotronics
PCB Piezotronics 482B11 Manuale utente
Manuali Apparecchiature di prova popolari di altre marche

SMART
SMART KANAAD SBT XTREME 3G Series Manuale utente

Agilent Technologies
Agilent Technologies BERT Serial Manuale utente

Agilent Technologies
Agilent Technologies N3280A Manuale utente

Vernier
Vernier Go Direct Voltage Manuale utente

Lifeloc
Lifeloc R.A.D.A.R. Manuale utente

Fluke
Fluke T5-600 Istruzioni per l'uso e l'installazione

























